dp
از صبر و شکیبایی شما سپاسگزاریم 🍁
دوره دوم متوسطه پسرانه
صفحه اصلی
اخبار و اطلاعیه
تقویم مدرسه
تولدها
جشن تکلیف
باشگاه دانش آموختگان
تقاضای همکاری
پیشنهاد و انتقاد
فروشگاه آنلاین
فروشگاه ستاره ها
تالار گفتوگو
کتابخانه
بانک سوالات
افتخارات
نشان افتخار
تاریخچه افتخارات
افتخارات فردی
افتخارت تیمی
وبلاگ کارکنان اداری
وبلاگ کارکنان آموزشی
خدمات دپارتمان تحصیلی
خدمات دپارتمان روانشناسی
مقالات
مدارس ما
کودکستان
دبستان دخترانه
دوره اول دبستان پسرانه
دوره دوم دبستان پسرانه
دوره اول متوسطه دخترانه
دوره اول متوسطه پسرانه
دوره دوم متوسطه دخترانه
دوره دوم متوسطه پسرانه
واحد تخصصی مشاوره
واحد فرهنگی
واحد روابط عمومی
درباره ما
نگارخانه تصاویر
بخش فیلم
اطلاعات مدرسه
نمودار سازمانی
آشنایی با کارکنان اداری
آشنایی با کارکنان آموزشی
جدول ملاقات با کارکنان
افتخارات
سوالات متداول
تقاضای همکاری
ورود به صفحه شخصی
روشن
تیره
ویرایش
میز کار من
تغییر رمز
خروج
عضویت در کانال اطلاع رسانی مجتمع در پیام رسان واتس اپ
پاسخنامه تشریحی درس فیزیک پایه استاد حقیقت
خانه
آرشیو: اطلاعیه ها - اخبار
پاسخنامه تشریحی درس فیزیک پایه استاد حقیقت
پاسخنامه تشریحی درس فیزیک پایه استاد حقیقت
تاریخ ثبت:
پیام ها:
0
فایل ها:
12
بازدید:
209
لینک کوتاه:
emamrezaedu.com/k6M4H
متن خبر:
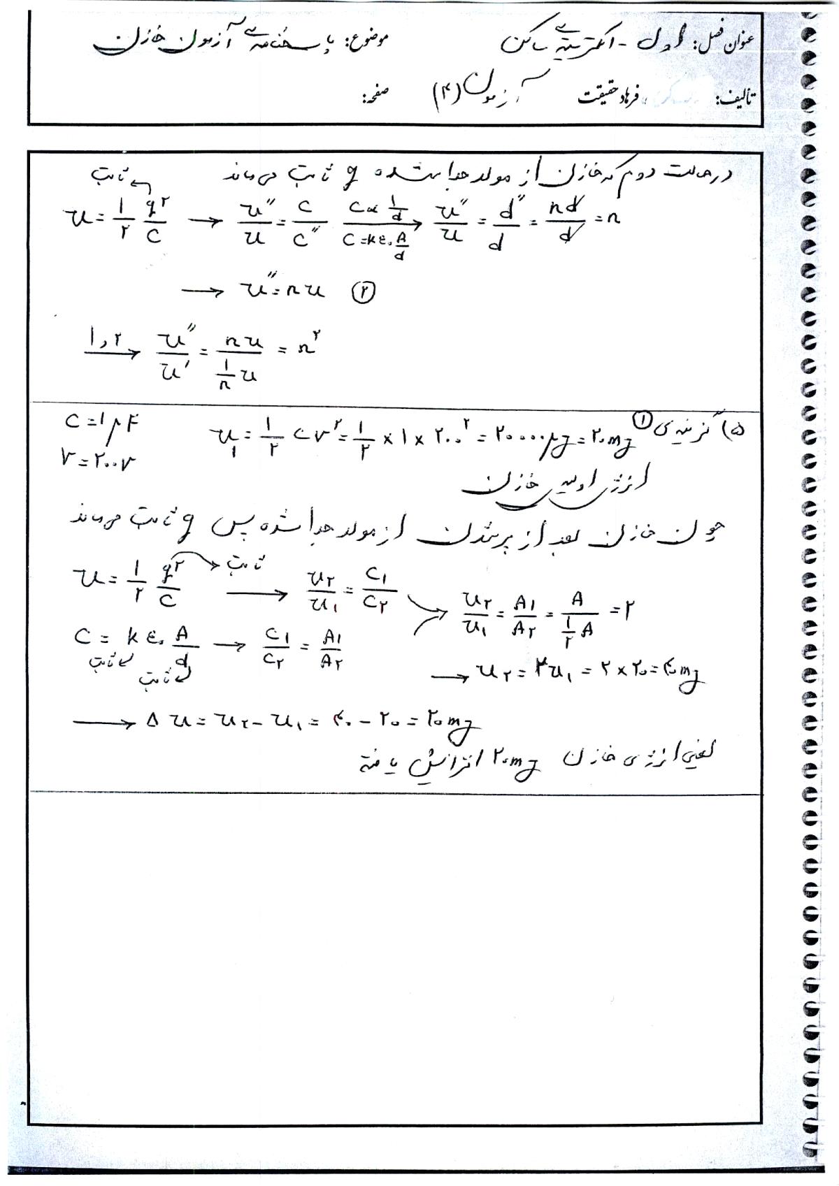
پاسخنامه درس فیزیک پایه استاد حقیقت به پیوست قرار دارد.
فایل ها:
تو هم می تونی با ورود به سیستم، نظرت رو با ما به اشتراک بذاری...
نظرات:
1
0
جستجو
متن جستجو
انصراف
جستجو
لطفا صبر کنید...
ورود به صفحه شخصی
نام کاربری
رمز عبور
به خاطر بسپار
انصراف
ورود
لطفا صبر کنید...
رمز عبورم یادت نیست! اینجا کلیک کن...